编程日记3
题目1
【问题描述】
某个人写了n封不同的信及相应的n个不同的信封,他把这n封信都装错了信封,问都装错信封的装法有多少种?
【输入形式】
一个数
【输出形式】
结果
【样例输入】
9
【样例输出】
133496
【代码】
1 | //错排:n封信放入n个信封,要求全部放错,共有多少种放法,记n个元素的错排总数为f(n) |
题目2
【问题描述】
棋盘覆盖问题要求在2^k * 2^k 个方格组成的棋盘中,你给定任意一个特殊点,用一种方案实现是用包含3个方格的L型牌覆盖所有方格除该特殊点的棋盘实现全覆盖。
【输入形式】
Input the size and the x,y:8 7 6
【输出形式】
3 3 4 4 8 8 9 9
3 2 2 4 8 7 7 9
5 2 6 6 10 10 7 11
5 5 6 1 1 10 11 11
13 13 14 1 18 18 19 19
13 12 14 14 18 17 17 19
15 12 12 16 20 0 17 21
15 15 16 16 20 20 21 21
【样例输入】
Input the size and the x,y: 8 7 6
【样例输出】
3 3 4 4 8 8 9 9
3 2 2 4 8 7 7 9
5 2 6 6 10 10 7 11
5 5 6 1 1 10 11 11
13 13 14 1 18 18 19 19
13 12 14 14 18 17 17 19
15 12 12 16 20 0 17 21
15 15 16 16 20 20 21 21
【样例说明】
第一个数为棋盘的行列数,须为2的K次幂,后面两个数为特殊方格的行号和列好,小于等于第一个数,输出每个数字占4位
【代码】
1 |
|
题目3
【问题描述】
递归法求x的n次方,n为整数,x为浮点数
【样例输入】
Input x,n:3.5 6
【样例输出】
The value is:1838.266
【样例说明】
一个空格隔开,输出小数点保留3位小数
【代码】
1 |
|
题目4
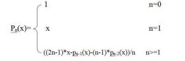
【问题描述】

【输入形式】
please input n, x :3 1.5
【输出形式】
The Value of Legendre polynomials is:1.166667
【样例输入】
3 1.5
【样例输出】
The Value of Legendre polynomials is:1.166667
【样例说明】
输入的值之间用一个空格隔开
【代码】
1 |
|
代码可能略有不足,请大佬多多指教





